Chcąc odrzucić MODEL 31 fizycy musieliby wykazać, że w modelu tym nie ma żadnego ładu, porządku, oraz że fundamentalne wyniki badań ich poprzedników nie stanowią integralnej części tego modelu, nie legitymizują go, nie są jego zwieńczeniem.
Tego żaden fizyk nie wykaże, bo jest to fizycznie niemożliwe. Ale też żadna osoba, w jakikolwiek sposób profesjonalnie związana z fizyką nie przyzna, że jest to dobry model atomu. Wynika to z czysto ludzkich, subiektywnych względów.
Pozostaje, więc tylko milczeć. |
Ten przewidziany wyżej „wirtualny marsz milczenia” społeczności fizyków rozpoczął się we wrześniu 2009 r.
Na jego czele kroczą polscy fizycy znani z „pierwszych stron gazet”.
1) Prof. Andrzej Staruszkiewicz (Institute of Physics, Jagiellonian University)
2) Prof. Jerzy Lukierski (Institute of Theoretical Physics, University of Wroclaw)
3) Prof. Łukasz Turski (Center for Theoretical Physics of the Polish Academy of Sciences)
4) Prof. Andrzej Wróblewski (Institute of Experimental Physics, University of Warsaw)
5) Prof. Jerzy Kowalski-Glikman (Institute of Theoretical Physics, University of Wroclaw)
6) Prof. Iwo Białynicki-Birula (Center for Theoretical Physics of the Polish Academy of Sciences)
Następnie do „marszu milczenia” dołączyli: pełna lista tutaj >
A co na temat MODELU 31 sądzą osoby niezwiązane profesjonalnie z fizyką, ale nią się interesujące?
Od czasu do czasu autor otrzymuje takie listy >
Notka 06.02.2010r.
|
Sygnały płynące od czytelników wskazują, że powyższy „żółty” fragment WSTĘPU wymaga szerszego omówienia.
Jest problem zawierający się w pytaniu.
Dlaczego "puzzle" fizyków (pierwsze energie jonizacji wszystkich pierwiastków)z niespotykaną precyzją utworzyły na planszy modelu 31 obraz układu okresowego pierwiastków? Ten "obraz" jest modelem atomu i jednocześnie pełni rolę doświadczenia rozstrzygającego dla tego modelu, gdyż jego składnikiem są niepodważalne wyniki badań fizyków XX wieku. I na temat tego "obrazu" należałoby dyskutować.
Można zacząć tak.
Model budowy atomu (model 31) jest fałszywy, bo jest niezgodny z aktualnie obowiązującymi poglądami na temat budowy atomu.
Ale jaka jest siła tego argumentu, jeśli model 31 tworzą i weryfikują fundamentalne wyniki badań fizyków.
Może, więc inaczej.
Model 31 jest fałszywy, bowiem opiera się na modelu jądra atomowego niezgodnym z aktualnie obowiązującymi poglądami.
Ale jaka jest siła tego argumentu, jeśli na bazie tego modelu fundamentalne wyniki badań fizyków utworzyły układ okresowy pierwiastków.
Może, więc tak.
Model 31 jest fałszywy, bo użyte do jego potwierdzenia wyniki badań fizyków są niewiarygodne.
Ale jaka jest siła tego argumentu, jeśli są to wyniki badań wykonane przez samych fizyków, wielokrotnie powtórzone, sprawdzone i zapisane w tabelach podręczników fizyki, z dokładnością do czwartego miejsca po przecinku.
Może, więc jeszcze inaczej.
Autor manipuluje wynikami badań, dopasowuje teorię do wyników badań.
Ta sprawa wygląda tak. W tworzeniu modelu 31 po dojściu do modelu jądra, autor trafił na barierę nie do przejścia. Nie miał żadnego pomysłu na to w jakich odległościach od jądra umieścić elektrony tak, żeby powstały modele atomów poszczególnych pierwiastków. Był model jądra z podziałem protonów na parzyste i nieparzyste, ale dalej ściana. Było to stresujące, bowiem autor zdawał sobie sprawę, że bez sensownego rozmieszczenia elektronów w atomie każdy fizyk skwituje sprawę krótko. Teoria niezgodna z aktualnie obowiązującymi poglądami. Nie warto nawet wnikać w szczegóły. Koniec, kropka.
I wtedy zwrócono uwagę na energie jonizacji atomów zapisane i skatalogowane w podręcznikach fizyki. Okazało się, że mając te energie, z wzoru Coulomba można wyliczyć odległość każdego elektronu od jądra atomu. Tak też uczyniono i tak przełamany został w/w impas, model 31 został dokończony dzięki wynikom badań fizyków. Tak więc nie ma tu dopasowywania teorii do wyników badań, to wyniki badań fizyków zakończyły budowę modelu atomu, zwieńczyły go w dość spektakularny sposób.
Jeśli nie można wykazać fałszywości modelu 31, to należałoby przyznać, że poprawnie przestawia on budowę atomu. Ale tego żaden fizyk nie uczyni, bo przyznając, że jest to poprawny model atomu zakwestionuje cała „swoją” fizykę. Pozostaje więc milczeć.
Jednak nie jest to milczenie na zasadzie milczę, bo tak chcę, lecz bardziej na zasadzie milczę, bo muszę.
|
Notka 18.02.2010r.
|
Światło i dźwięk to dwa powszechnie znane zjawiska fizyczne. Mniej znane jest to, że oba te zjawiska, w doświadczeniu z dwiema szczelinami dają identyczny wynik. W obu przypadkach obserwuje się interferencję (nakładanie się) fal. Dźwięk jest to podłużna fala gazowa. A co to jest światło? Uważa się, że światło to fala poprzeczna. Czyli dwa różne rodzaje fal rozchodzące się w diametralnie różny sposób, w doświadczeniu z dwiema szczelinami dają identyczny efekt. To jest poważny problem, o którym cicho sza. Szersze naświetlenie tego problemu można znaleźć na stronie 54 niniejszego opracowania.
|
Notka 03.03.2010r.
|
Sprawa wodoru.
Otwieramy jakiś kolorowy układ okresowy, najlepiej ten /www.chemik.edu.pl/ . Przyglądamy się uważnie. Po prawej stronie widzimy niemetale. Po lewej stronie znajduje się istne morze metali. A z tego morza wystaje wodór, umieszczony bezsensownie, jak latarnia morska na środku oceanu. A dodatku tenże wodór / H/, najaktywniejszy niemetal tkwi w jednej grupie z najaktywniejszym metalem, fransem / Fr/. To przecież absurd. Fizyka współczesna znowu ma duży problem. A gdzie można się z nim bliżej zapoznać? W podręcznikach fizyki go nie ma, ale znajdziemy go, gdy uniesiemy róg dywanu. Tam jest zamieciony. Znajduje się tam tak długo, że przestał być problemem fizyki. Stał się jej kanonem. Fizyk mówi o nim po prostu. Ten typ tak ma. I żeby stać się bardziej wiarygodnym powtarza za Feynmanem.
„Mam nadzieję, że zaakceptujecie naturę taką, jaka jest – absurdalną”.
Ktoś może powiedzieć. Krytykować łatwo. Taki jesteś mądry. Pokaż, co potrafisz. Autorowi dwa razy powtarzać nie trzeba. Zapraszam na stronę 47 niniejszego opracowania. Jest tam przedstawiony układ okresowy pierwiastków bez anomalii, w którym wodór zajmuje miejsce zgodne z logiką i zdrowym rozsądkiem, czyli wśród niemetali. Należy dodać, że wzmiankowany układ okresowy nie powstał ad hoc, z potrzeby chwili, lecz jest naturalną konsekwencją Modelu 31, jest wtórny do tego modelu, jest jego uproszczonym zapisem. Wprawdzie nie zawiera on w sobie tyle informacji, co Model 31, ale jest prosty, elegancki i piękny, jak fizyka klasyczna.
|
Notka 09.03.2010r.
|
Dziwna własność fali elektromagnetycznej.
Długość fali jest to prędkość fali podzielona przez jej częstotliwość. Prędkość fali elektromagnetycznej jest stała (wynosi 297 792 458m/s), czyli długość tej fali zależy tylko od jej częstotliwości. Im mniejsza jest częstotliwość fali elektromagnetycznej, tym większa jest jej długość. Przy dużych częstotliwościach rzędu miliardów drgań na sekundę wszystko wygląda normalnie. Długości fal są rzędu nanometrów. Bez trudu można wyobrazić sobie falę świetlną, mającą częstotliwość drgań rzędu miliardów herców i długość rzędu kilkuset nanometrów. Należy ona do mikroświata. Jednak przy zmniejszaniu częstotliwości pojawiają się problemy. Fala elektromagnetyczna o częstotliwości drgań rzędu kilku herców posiada długość rzędu kilkudziesięciu tysięcy kilometrów. Czyli subatomowa fala elektromagnetyczna zmniejszając swoją częstotliwość rozrasta się do rozmiarów wręcz kosmicznych? W jaki sposób? Obecnie nikt nie wysuwa hipotezy, że bardzo krótkie fale elektromagnetyczne są innej natury, niż fale bardzo długie. Gdzie w takim razie tkwi błąd? Błąd tkwi w tym, że częstotliwość drgań nie może być zawsze kojarzona z falą. Częstotliwość drgań posiada także każdy oscylator. Oscylator poruszający się w przestrzeni posiada też prędkość, drugą własność przypisywaną fali. Jednak oscylator, posiadający nawet dwie własności fali (częstotliwość i prędkość) nadal nie jest falą, tylko poruszającą się drgającą cząstką. I jeżeli prędkość takiej drgającej cząstki podzielimy przez jej częstotliwość drgań to, chociaż od strony matematycznej wszystko będzie w porządku, nie otrzymamy długości fali tej cząstki (bo nie jest ona falą), tylko popełnimy błąd opisany powyżej i wyjdą nam absurdy. Powyższe rozważania stanowią kliniczny przykład tego, jak stosowanie matematyki do zjawisk fizycznych, których istoty nie znamy lub nie do końca znamy, może zaprowadzić nas na manowce. Matematyka jest solą fizyki, trzeba ja używać do smaku. Używana bez umiaru szkodzi. Ale wracając do tematu. Te wspomniane wyżej drgające i poruszające się z określoną prędkością cząstki, to kwanty energii. Ich istnienie aktualnie nie podlega dyskusji. Aby zobaczyć jak te kwanty są zbudowane i jak tworzą one produkt „falopodobny” zwany obecnie falą elektromagnetyczną, zapraszam czytelnika na strony 3 - 18, oraz 54-55 niniejszego opracowania. Przedstawiony na tych stronach model budowy kwantów energii może u czytelników budzić różne odczucia, ale muszą oni mieć na uwadze, że od tego modelu w prostej linii pochodzi Model 31, źródło głębokiej zadumy fizyków.
|
Notka 12.03.2010r.
|
W literaturze można znaleźć następujące stwierdzenia:
-zaproponowanie istnienia kwantu energii przez Maxa Plancka było aktem rozpaczy
(rok 1900),
- zaproponowanie istnienia neutrina przez Wolfganga Pauli’ego było aktem rozpaczy
(rok 1930),
- zaproponowanie istnienia kwarków przez Murray’a Gell-Manna było aktem rozpaczy
(rok 1964).
Z powyższego wynikają dwa wnioski.
1) W XX wieku, kamieniami milowymi na drodze rozwoju fizyki teoretycznej były akty rozpaczy.
2) W fizyce współczesnej panuje zastój od 1964 roku, kiedy to miał miejsce ostatni „akt rozpaczy”.
W tym ostatnim twierdzeniu autor nie jest osamotniony. Ma sojusznika nawet „po drugiej stronie barykady”. I nie jest to byle kto. To prof. Andrzej Staruszkiewicz z Instytutu Fizyki Uniwersytetu Jagiellońskiego. Profesor Staruszkiewicz w swoich poglądach jest jeszcze bardziej radykalny. Uważa on, że kryzys w fizyce teoretycznej zaczął się już na początku ubiegłego wieku i trwa do dzisiaj. Ten nietuzinkowy, odważny pogląd jest mądrze i rzeczowo uzasadniony. Szczegóły tutaj.
|
Notka 24.03.2010r.
|
Bierzemy pod uwagę szklarnię w piękny słoneczny dzień. Promieniowanie słoneczne przenika przez szkło. Jednak jego ultrafioletowej części nie ma w szklarni. Tłumaczy się, że szkło je rozproszyło. W tejże szklarni temperatura jest znacznie wyższa niż na zewnątrz. Tłumaczy się, że szkło nie wypuściło na zewnątrz promieniowania podczerwonego powstałego w szklarni. Dlaczego tak się dzieje? Nie wiadomo.
Teraz bierzemy pod uwagę atmosferę ziemską w ten sam piękny słoneczny dzień. Do powierzchni Ziemi dociera tylko niewielka część promieniowania ultrafioletowego, które dotarło ze Słońca do górnych warstw atmosfery ziemskiej. Czyli lwia cześć tego promieniowana znikła. Z drugiej strony w atmosferze ziemskiej stwierdza się, znaczne nadwyżki promieniowania podczerwonego (średnia temperatura Ziemi wynosi plus piętnaście stopni Celsjusza zamiast minus dziewiętnaście stopni Celsjusza). Mamy więc ten sam efekt co w szklarni.
Czyli dwa różne zjawiska fizyczne dają ten sam efekt. Jak to wyjaśnić? Aż się prosi przyjąć, że atmosfera ziemska oddzielona jest od Kosmosu szklaną kulą. Jednak obserwacje tej hipotezy nie potwierdzają. Trzeba podać inne wyjaśnienie. Tłumaczy się więc, że promieniowanie ultrafioletowe, redukowane jest przez ozon, obecny w górnych warstwach atmosfery, zaś promieniowanie podczerwone zatrzymywane jest przez dwutlenek węgla obecny w całej atmosferze.
Jest to tłumaczenie słabiutkie, bowiem przyjmuje się, że gazy występujące w atmosferze ziemskiej w mikroskopijnych ilościach, redukują i zatrzymują ogromne ilości promieniowania słonecznego. Nie wiadomo też jak przebiega ten proces?. Logiczny wydaje się być pogląd, że jeżeli dwa zjawiska dają ten sam efekt, to należałoby je wyjaśnić w jeden sposób. Aby pokazać, że jest to możliwe autor zaprasza czytelnika do lektury stron
12 i 13 niniejszego opracowania.
|
Notka 01.05.2010r.
|
Prostota Modelu 31 nie mieści się fizykom w głowie. Ale co miał zrobić „Naczelny Konstruktor Wszechświata” mając do dyspozycji kawałek sprężystej struny. Przecież nie mógł zrobić z tej struny kulki.
A w fizyce współczesnej elektron to kulka, proton to większa kulka, jądro atomowe to kula ulepiona małych kulek, atom to kula z kulkami na orbitach (orbitalach). Z takiej budowy mikroświata wynikają same problemy.
Sztandarowym tego przykładem mogą być modele budowy jądra atomowego. Dla opisu własności jądra atomowego istnieją obecnie dwa główne modele (powłokowy i kroplowy) oraz kilka pobocznych. Są to modele absolutnie niekompatybilne, każdy z nich został stworzony do wyjaśnienia innych własności jądra atomowego.
A życie uczy, że już istnienie dwóch teorii oznacza brak teorii.
Dalszą konsekwencją modelu jądra jako kuli ulepionej z kulek, jest konieczność wprowadzenia dodatkowego oddziaływania (silnego), którego jedynym zadaniem jest utrzymywanie tych kulek w kupie. I jakby tego było mało oddziaływanie to musi posiadać niewyobrażalną, nielogiczną właściwość.
Jego siła ma rosnąć ze wzrostem odległości, co stoi w jaskrawej sprzeczności z podstawowym w fizyce, niepodważalnym prawem Coulomba. Jeśli Szanowny Czytelnik chciałby zapoznać się z budowa jądra atomowego według Modelu 31 autor zaprasza na strony
30 do 37 niniejszego opracowania.
P.S.
Pisząc „Naczelny Konstruktor Wszechświata” autor miał na myśli „Naczelnego Konstruktora Wszechświata” a nie siebie.
Tworząc Model 31 autor pełni tylko rolę kronikarza.
|
Notka 03.05.2010r.
|
MODEL 31 teorią strunową.
W latach osiemdziesiątych ubiegłego wieku fizycy doszli do wniosku, że cząstki elementarne powinny mieć budowę strunową a nie punktową. Takie ujęcie zagadnienia eliminuje występowanie nieskończenie wielkich sił oddziaływania w klasycznym wzorze Coulomba. Początek znakomity, ale dalsze postępowanie już takie sobie.
Owe struny fizycy zaczęli umieszczać w wymiarach dodatkowych przestrzeni. Z niezwykle głębokich rozważań matematycznych wyszło im, że struny te powinny znajdować dziesiątym i dwudziestym szóstym wymiarze. Wymiary te są niewidoczne, bo są zwinięte do niezwykle małych rozmiarów. Człowiek obecnie nie ma do nich dostępu. Czyli teoria strunowa jest nieweryfikowalna. Trzeba było odłożyć ją na półkę.
Model 31 od początku do końca jest teorią strunową. Te sprężyste, stale drgające struny, istnieją realnie w naszym trójwymiarowym świecie. Kwant energii jest to odpowiednio ukształtowana sprężysta, dwuwymiarowa struna. Z niego, w określonych warunkach mogą powstać elektron lub pozyton elementarne, trójwymiarowe, posiadające spin cząstki masy. Cząstki te drgają nieustannie. Wynikiem tych drgań jest wytwarzanie linii pól.
Każdy elektron i pozyton wytwarza jednocześnie linię pola elektrycznego, linię pola grawitacyjnego i linie pola magnetycznego. Linie pól umożliwiają łączenie się cząstek elementarnych w większe agregaty. Z tych elementarnych cząstek zbudowane są protony i neutrony. Z protonów i neutronów zbudowane jest jądro atomowe. Z jąder atomowych i elektronów zbudowane są atomy. Z atomów zbudowane są cząsteczki chemiczne. I tak dalej, i tak dalej, aż do powstania życia na Ziemi.
Powyższe jest tak przerażająco proste, że aż budzi alergiczny sprzeciw. Ale każdy, kto temu uczuciu ulega musi wziąć pod uwagę, że prostą konsekwencją tej strunowej teorii materii jest Model 31, który w spektakularny sposób zwieńczyły wyniki badań fizyki współczesnej i na temat którego fizycy tak zgodnie, tak karnie, tak kolektywnie milczą.
|
Notka 24.06.2010r.
|
Kula i punkt, czy struna i łańcuch?
Elektron nie jest kulą, proton nie jest kulą, jądro atomowe nie jest kulą, atom nie jest kulą.
Mikroświat nie uznaje kulistego kształtu. Dlatego kula i punkt to źródła wiecznych kłopotów fizyki współczesnej,
które sprowadzają fizykę na drogę absurdów.
Struna nie jest punktem, jest rozciągła.
Elektron i pozyton są strunami. Ze strun można zbudować łańcuch. Dlatego mikroświat ma budowę łańcuchową.
Proton jest łańcuchem zbudowanym z elektronów i pozytonów. Jądro atomowe jest łańcuchem, którego ogniwa stanowią jądra helu.
Łańcuch jądra atomowego jest spiralą prawo lub lewoskrętną. Dlatego występują związki chemiczne typu D i L.
Budowę łańcuchową posiadają również związki organiczne (białka, cukry, tłuszcze, DNA).
Oznacza to, że nie ma istotnej różnicy w „filozofii” budowy świata organicznego i nieorganicznego.
Po szczegóły zapraszam czytelników na stronę 30 niniejszego opracowania.
|
Notka 06.07.2010r.
|
Weźmy pod uwagę takie procesy jak:
- spalanie węgla,
- rozpuszczanie substancji (np. ługu sodowego w wodzie),
- grzanie się przewodnika pod wpływem prądu elektrycznego,
- rozpad jąder atomowych (promieniotwórczość),
- łączenie się jąder atomowych (reakcja termojądrowa).
Wszystkie te procesy dają ten sam efekt, czyli wzrost temperatury.
Jednak przebieg każdego z nich tłumaczy się w inny sposób.
Czyż nie byłoby słuszne, wyjaśnienie mechanizmu przebiegu w/w procesów w jeden sposób?
Oczywiście, że tak, przecież nie należy mnożyć bytów ponad potrzebę. I takie wyjaśnienie daje Model 31.
Autor zaprasza czytelników do zapoznania się z rozdziałem 13 niniejszego opracowania (strona 60 ).
|
Notka 12.07.2010r.
|
Czas na porównanie bezpośrednie.
Proszę spojrzeć na te wykresy
|

Notka 12.07.2010r.
|
Jeśli fizyk spojrzy na powyższe wykresy to czuje, widzi lub wie, że sprawa jest przegr…,
przesądzona i pozostaje tylko kwestia wyboru dalszej strategii postępowania.
Są do wyboru rozwiązania merytoryczne.
Rzeczony fizyk:
- chciałby merytorycznie, negatywnie ocenić Model 31, ale nie może tego zrobić, bo siła dowodu prawdziwości tego modelu jest przygniatająca,
- może merytorycznie, pozytywnie ocenić Model 31, bo siła dowodu prawdziwości tego modelu jest przygniatająca, ale nie chce tego zrobić.
Pozostają więc rozwiązania niemerytoryczne.
Fizyk:
- może milczeć, przyjmując, że dla postronnych czytelników milczenie jest równoważne z oceną negatywną Modelu 31.
- może zabrać głos udzielając wymijających odpowiedzi, zupełnie nie związanych z Modelem 31 przyjmując, że postronny czytelnik i tak weźmie to za dobrą monetę...
Test przeprowadzony na reprezentatywnej grupie 300 fizyków z głównych ośrodków akademickich w Polsce (lista tutaj) wykazał, co następuje.
Ani jeden fizyk nie wypowiedział się merytorycznie w sprawie modelu 31.
97% fizyków uznało za stosowne milczeć.
3% fizyków udzieliło odpowiedzi wymijającej.
|
Notka 19.07.2010r.
|
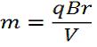
Spójrzmy jeszcze raz na przedstawione wyżej wykresy. W ich prawym dolnym rogu znajduje się niepozorny wzór. Jest to przekształcony wzór Coulomba. Ten pochodzący z XVIII wieku, sztandarowy wzór fizyki klasycznej, w Modelu31 posłużył do wyznaczenia odległości elektronów walencyjnych danego pierwiastka od jądra atomowego. Jest to narzędzie, które pozwoliło na wykazanie pełnej korelacji między pierwszą energią jonizacji poszczególnych atomów a ich położeniem w układzie okresowym.
Z powyższego wynika niezwykle istotny wniosek.
Prawa fizyki klasycznej są uniwersalne, obowiązują w makro i mikroświecie.
Niestosowność powyższego wniosku można wykazać tylko wtedy, gdy wykaże się niestosowność Modelu 31. A z tym jak do tej pory są problemy.
|
Notka 30.07.2010r.
|
Jeszcze raz porównanie bezpośrednie.
Proszę spojrzeć na poniższe rysunki

W modelu jądra wg fizyki współczesnej nie ma żadnego ładu, żadnej myśli przewodniej. Wg niego jądro jest kulą ulepioną z mniejszych kulek. Na jego podstawie nijak nie można było wyjaśnić, co utrzymuje w jądrze protony, cząstki o tym samym ładunku. Dlatego, tylko dla tego przypadku, wymyślono nowy rodzaj oddziaływania (oddziaływanie silne), swego rodzaju antyprawo Coulomba, mówiące, że siły oddziaływania zwiększają się ze wzrostem odległości między cząstkami.
W Modelu 31 panuje pełny ład i harmonia. Wg niego jądro ma budowę łańcuchową i spiralną. Model ten pokazuje, że odpowiednie (równolegle) ułożenie linii sił pola elektrostatycznego protonów (czarne linie) pozwala na utrzymanie razem protonów w jądrze atomu.
Model ten powstał na podstawie fundamentalnego prawa fizyki klasycznej (prawa Coulomba) mówiącego, że siły oddziaływania zmniejszają się ze wzrostem odległości między cząstkami.
Na powyższym rysunku (po prawej) przedstawiony jest konkretny model jądra atomu (jądro fluoru). W ten sam sposób można przedstawić model każdego jądra lub jego izotopu występującego w przyrodzie. W przypadku modelu „kulkowego” takiej możliwości nie ma.
W przedstawionym modelu ogniwami łańcucha jądrowego są jądra helu (heliony). Te heliony wybijane są z jąder w procesie promieniotwórczości naturalnej.
|
Notka 08.08.2010r.
|
W przyrodzie istnieją dwa oddziaływania podstawowe – przyciąganie i odpychanie.
Grawitacja nie jest oddziaływaniem podstawowym. Grawitacja jest to prosta kombinacja ułożonych na przemian linii przyciągania i
linii odpychania pola grawitacyjnego. Aby zobaczyć jak powstaje ta kombinacja linii pola grawitacyjnego autor zaprasza czytelników
na strony 23 - 30 niniejszego opracowania. Tu można tylko dodać, że źródłem tych linii jest proton.
Proton będąc źródłem grawitacji jest jedyną w przyrodzie cząstką złożoną, która nie ulega rozpadowi.
Proton jest elementarnym nośnikiem grawitacji i jej strażnikiem.
|
Notka 20.08.2010r.
|
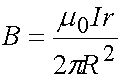
Każdy elektron i każdy pozyton jest źródłem trzech rodzajów pól. Zawsze i wszędzie wytwarzają one linie sił pola magnetycznego, pola elektrycznego i pola grawitacyjnego.
Pochodząc z tego samego źródła siły działania tych pól podlegają tym samym zależnościom:

Zależności te wyznaczyli:
- Isaac Newton w XVII wieku (dla sił pola grawitacyjnego),
- Charles de Coulomb w XVIII wieku (dla sił pola elektrycznego i magnetycznego).
Powyższy wzór leży u postaw budowy i działania Wszechświata
Chętnych poznania szczegółów zapraszam na strony 3 - 23 niniejszego opracowania.
|
Notka 24.08.2010r.
|
Rozkład elektronów w atomie decyduje o jego wszelkich własnościach fizycznych i chemicznych. Wiadomym jest, że własności te są zawsze takie same dla wszystkich atomów danego pierwiastka. Oznacza to, że we wszystkich atomach danego pierwiastka, zawsze i wszędzie elektrony powinny być rozmieszczone w taki sam sposób.
Warunek ten spełnia model atomu zaproponowany w niniejszym opracowaniu.
A jak jest z innymi modelami atomów aktualnie obowiązującymi w fizyce współczesnej. Model atomu Bohra mówi o elektronach krążących po orbitach wokół jądra atomowego, zaś według mechaniki kwantowej elektrony są w pobliżu jądra, ale gdzie dokładnie nie wiadomo. Oznacza to, że w określonej chwili, w atomach danego pierwiastka jest tyle rozkładów elektronów, ile jest atomów tego pierwiastka we Wszechświecie.
Pytanie do fizyków. Jak to się dzieje, że atomy danego pierwiastka mając zawsze różne rozkłady elektronów mają zawsze jednakowe własności fizyczne i chemiczne?
Jest to pytanie uzupełniające, bo pytanie główne ciągle brzmi następująco:
Dlaczego fundamentalne wyniki badań fizyki współczesnej (pierwsze energie jonizacji atomów) w Modelu 31 utworzyły układ okresowy pierwiastków?
|
Notka 02.09.2010r.
|
Elektron i pozyton powstają z kwantów energii i są elementarnymi cząstkami masy. Pary elektronowo pozytonowe budują proton. Ostatni, niesparowany pozyton protonu nadaje mu elementarny ładunek dodatni.
Neutron jest to proton zobojętniony elektronem (neutralny elektrycznie). Neutrony i protony budują jądro atomowe. Elektrony wieńczące budowę atomu, umieszczone naprzeciwko odpowiadających im protonów zobojętniają do tej pory aktywne ładunki protonów jądra atomowego. W ten sposób każdy atom zbudowany jest z jednakowej liczby elektronów i pozytonów.
Pozyton jest antycząstką, antymaterią elektronu. Oznacza to, że materia i antymateria w równych ilościach „zamrożone” są w atomach, czyli wszechświat zbudowany jest z takiej samej ilości materii i antymaterii . Z drugą częścią powyższego wniosku fizyka współczesna zgadza się całkowicie, jednak obecnie jest ona na etapie poszukiwania antymaterii. Jeśli ktoś ciekawy szczegółów zapraszam na strony 19 - 38 niniejszego opracowania
|
Notka 12.09.2010r.
|
Działanie grawitacji na małych odległościach.
Protony i neutrony, czyli jądra atomowe są źródłem siły grawitacji. Siła grawitacji powoduje, że atomy przyciągają się, zderzają i odbijają od siebie.
W momencie zderzenia atomów ich elektrony drgają i produkują kwanty energii. Te kwanty energii, w przerwie między zderzeniami atomów uzupełniają straty energii kinetycznej atomów, utrzymując ich prędkość na stałym poziomie, utrzymując stałą odległość między atomami. Te nieustannie produkowane kwanty energii pełnią rolę „czynnika antygrawitacyjnego”, zapobiegającego sklejeniu się atomów danego ciała.
Im większe są atomy danego ciała, tym większa jest siła przyciągania między atomami tego ciała, ale atomy te mając więcej elektronów produkują więcej kwantów, więcej „czynnika antygrawitacyjnego”. Działa tu swego rodzaju system samoregulacji.
Siła grawitacji wytwarzana przez jądra atomów i kwanty energii wytwarzane przez elektrony tych atomów warunkują fizyczne istnienie ciał.
Kwanty energii wewnątrz każdego ciała produkowane są w sposób ciągły, więc ich nadmiar musi z ciała wyjść. Te kwanty opuszczające każde ciało fizyczne rejestruje się jako promieniowanie elektromagnetyczne ciał.
|
Notka 19.09.2010r.
|
Każde ciało posiadające temperaturę wyższą od zera bezwzględnego emituje promieniowanie elektromagnetyczne (cieplne). Z poprzedniej notki wynika, że promieniowanie to stanowią kwanty energii nieustannie produkowane przez drgające w atomie elektrony. Kwanty te wytwarzane są z ciemnej energii.
Takie ujęcie zagadnienia pozwala odpowiedzieć na kłopotliwe do tej pory pytanie. Dlaczego wszystkie ciała we Wszechświecie, wiecznie emitują promieniowanie elektromagnetyczne nie tracąc przy tym masy?
To promieniowanie w skali makro odbieramy jako promieniowanie cieplne, czujemy je jako ciepło. Ciepło jest realnym bytem, istnieje fizycznie tak, jak fizycznie istnieje atom, który je wytwarza. Promieniowanie elektromagnetyczne ciał to cieplik postulowany przez fizyków XVIII wieku i wyrzucony na śmietnik historii przez fizyków XIX wieku.
Na ironię losu zakrawa fakt, że fizycy po odkryciu promieniowana elektromagnetycznego ciał (cieplika) definitywnie wyrzucili z fizyki teorię cieplika. Jednak nie zdobyli się na usuniecie razem z nią II zasady termodynamiki, chociaż ta na podstawie teorii cieplika powstała.
Z powyższego wynika, że kwanty energii obok wielu innych pełnią też rolę elementarnych cząstek ciepła. Kwanty te są dwuwymiarowymi, (płaskimi) sprężynkami, a naprężnie tych sprężynek w skali makro rejestrowane jest jako temperatura ciała. Szczegóły w tekście opracowania „Krok po kroku do Modelu 31”
|
Notka 23.09.2010r.
|
RÓWNOLEGLE ZE ŚWIATEM ATOMÓW ISTNIEJE ŚWIAT KWANTÓW ENERGII.
Kwanty wypełniają cały Wszechświat. Przenikają na wskroś ciała masowe i są tam, gdzie nie ma ciał. Są absolutnie niezależne od masy. Każde ciało zbudowane jest z atomów, oraz kwantów energii wypełniających przestrzeń między atomami.
Wszystkie kwanty mają stałą energię kinetyczną (posiadają stałą prędkość). Różnią się one między sobą naprężeniem, częstotliwością drgań, mocą. Te własności kwantów w skali makro rejestrowane są jako temperatura. Temperatura jest immanentną cechą kwantów energii, a nie atomów, jak to ujmuje kinetyczno-molekularna teoria materii.
Obrazowo rzecz ujmując, kwanty są to swego rodzaju kamertony drgające z różnymi częstotliwościami, poruszające się zawsze z prędkością 299792458 m/s.
|
Notka 25.09.2010r.
|
Porównanie bezpośrednie na rocznicę Modelu 31.
Model 31.
Dwie trwałe cząstki elementarne: elektron i pozyton.
Jedna trwała cząstka złożona, zbudowana z w/w cząstek elementarnych: proton.
Dwa oddziaływania elementarne: przyciąganie i odpychanie.
Model Standardowy.
61 trwałych i nietrwałych cząstek elementarnych.
Poszukiwana cząstka sześćdziesiąta druga, bez której model nie ma sensu: bozon Higgsa.
Trzy oddziaływania elementarne: elektromagnetyczne, silne, słabe (czwarte oddziaływanie – grawitacja, poza zasięgiem modelu).
Model zupełnie niespójny. Określany jako elegancki.
Powiedzieć, że istnieje ponad 60 cząstek elementarnych i określić, że jest to rozwiązanie eleganckie, to tak jakby wymierzyć siarczysty policzek „Naczelnemu Konstruktorowi Wszechświata”.
|
Notka 30.09.2010r.
|
Kwanty, które poruszają się z ogromną prędkością i wiecznie drgają, wtórnie wprawiają w ruch elektrony, pozytony, atomy, molekuły. Oznacza to np, że rozgrzana katoda to nie jest działo wystrzeliwujące elektrony, który lecą w próżni jak pociski. Rozgrzana katoda jak każde ciało emituje kwanty energii, które drgając z odpowiednio wysoką częstotliwością, wtórnie wybijają z katody elektrony i unoszą je ze sobą. Jeżeli na drodze tych kwantów ustawimy dwie szczeliny, to za tymi szczelinami utworzą one prążki interferencyjne.Takie same prążki (z pewnym opóźnieniem, bo jest ich mało) utworzą elektrony niesione przez te kwanty. Interferencja elektronów w doświadczeniu z dwiema szczelinami jest to zjawisko wtórne.
Wszystko jest normalne i jasne.
Jednak fizycy nie zdając sobie sprawy z istnienia świata kwantów, przyjmują, że katoda wystrzeliwuje elektrony, które lecą w próżni jak pociski. Jeżeli na drodze tych „pocisków” ustawią dwie szczeliny, to nijak nie mogą zrozumieć jak elektrony tworzą prążki interferencyjne za tymi szczelinami. Zostawić problem bez wyjaśnienia nie mogą. Wyjaśniają więc: elektron interferuje sam ze sobą. Brzmi to mało przekonywująco. Stawiają więc inną hipotezę: elektron może być cząstką lub falą. Też słabo. Wzmacniają więc hipotezę stwierdzeniem. Przyroda na poziomie mikroświata jest absurdalna.
I wszystko jest „jasne”, chociaż wygląda nienormalnie.
|
Notka 04.10.2010r.
|
Powyższa notka zawiera materiał na doświadczenie rozstrzygające dla mechaniki kwantowej. Przebiegałoby ono tak.
Wykonujemy doświadczenie z dwiema szczelinami dla elektronów. Elektrony tworzą prążki interferencyjne. Następnie zamieniamy detektory wykrywające elektrony na detektory wykrywające promieniowanie podczerwone i powtarzamy doświadczenie.
Jeżeli w miejscach, gdzie poprzednio były prążki elektronowe, powstaną prążki kwantów promieniowania podczerwonego, to będziemy mogli powiedzieć mechanice kwantowej: „Pani już dziękujemy”.
|
Notka 14.10.2010r.
|
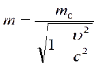
Wg Modelu 31 energia całkowita każdego elektronu atomu jest energią potencjalną.
Wzór na energię potencjalną elektronu w atomie wodoru jest powszechnie znany:

Z powyższego widać, że możemy w prosty sposób obliczyć odległość elektronu od jądra w atomie wodoru,
czyli możemy obliczyć „wielkość” atomu wodoru. Więc zróbmy to:

Z Modelu 31 wynika więc, że „wielkość” atomu wodoru wynosi 1,059 * 10^(-10)m.
Prawie 100 lat temu Niels Bohr przyjął kilka założeń i na podstawie głębokich rozważań matematycznych wyliczył średnicę atomu wodoru jako 1,058 * 10^(-10)m. Jak widać obie wyliczone wartości praktycznie pokrywają się. Po co więc potrzebna była Bohrowi ta matematyczna żonglerka? Matematyczna żonglerka potrzebna była Nielsowi Bohrowi do wykazania, że wielkość liczbowa 1,058 * 10^(-10)m jest to średnica atomu wodoru, bowiem teoria Bohra zakładała planetarną budowę atomu wodoru z elektronem krążącym wokół jądra, a taka teoria wymaga wyrażenia wielkości atomu przez jego średnicę lub promień. Więcej szczegółów na temat budowy atomu wg Modelu 31 znajduje się na stronach 37 - 49 niniejszego opracowania.
|
Notka 02.11.2010r.
|
W poprzedniej notce stwierdzono, że Model 31 jest w stanie wyliczyć odległość od jądra dowolnego elektronu w atomie dowolnego pierwiastka. Obliczeń tych dokonuje się w ten sam sposób, jak to w notce 14.10.2010 zrobiono dla atomu wodoru, tzn. wstawiając do wzoru Coulomba wartość energii jonizacji danego elektronu w atomie danego pierwiastka. Te energie jonizacji fizycy wyznaczyli doświadczalnie już wiele lat temu i można je znaleźć w odpowiednich tabelach. Oto ciekawostka wynikająca z tych wyliczeń. W układzie okresowym najdalej oddalonym od jądra elektronem jest elektron walencyjny cezu, którego energia jonizacji wynosi 3,89 eV, co po przeliczeniu daje odległość od jądra 3,7 * 10^(-10) m. Z kolei elektronem położonym najbliżej jądra jest pierwszy elektron atomu uranu, którego energia jonizacji wynosi 115506 eV, co po przeliczeniu daje odległość od jądra 1,2 * 10^(-14) m.
Żeby to sobie wyobrazić zmienimy trochę skalę. Jeżeli przyjmiemy, że odległość elektronu najdalej oddalonego od jądra wynosi 100 m, to odległość elektronu najbardziej zbliżonego do jądra wynosi 3,3 mm.
|
Notka 10.11.2010r.
|
W przedstawiony uprzednio sposób można obliczyć odległość od jądra wszystkich elektronów w atomie danego pierwiastka. Np. po rozwinięciu spirali jądrowej rozkład odległości od jądra poszczególnych elektronów w atomie argonu wygląda tak.
Analiza tego rozkładu wykazuje, co następuje. W każdej parze protonów, elektron protonu nieparzystego zawsze znajduje się bliżej jądra, niż elektron protonu parzystego. Z kolei elektrony protonów parzystych i nieparzystych ułożone są na kilku wyróżniających się poziomach. Na poziomie najniższym znajdują się 2 elektrony pierwszej pary protonów. Elektrony drugiej, trzeciej, czwartej i piątej pary protonów (8 elektronów) znajdują się na poziomie drugim, znacznie wyższym od pierwszego.. Kolejne 8 elektronów, (szóstej, siódmej, ósmej i dziewiątej pary protonów) znajduje się na poziomie trzecim znacznie wyższym od poziomu drugiego. Czyli na trzech kolejnych poziomach odległości od jądra znajduje się 2, 8, 8 elektronów.
Ten rozkład elektronów już skądś znamy. Tak, tak w aktualnie obowiązującym modelu atomu argonu takie ilości elektronów krążą na powłokach K, L, M. Czyli prawie osiągnęliśmy konsensus. Prawie robi różnicę. Różnica polega tylko na tym, że elektrony nie krążą i nie są to powłoki.
|
Notka 19.11.2010r.
|
W multi lotku trafienie szóstki z czterdziestu dziewięciu jest prawdopodobne jak jeden do kilkunastu milionów. W Modelu 31 ułożenie się 92 pierwszych energii jonizacji w układ okresowy pierwiastków jest jak trafienie dziewięćdziesięciu dwóch na dziewięćdziesiąt dwa możliwe. Czy to przypadek? Na to pytanie powinni odpowiedzieć fizycy. Dlatego milczą.
|
Notka 24.11.2010r.
|
Weźmy pod uwagę jeden kwant z morza kwantów energii wypełniających Wszechświat.
W dużym powiększeniu wygląda on tak

Jest to struna mająca postać płaskiej, dwuwymiarowej sprężynki. Pod wpływem ciemnej energii sprężynka ta wykonuje ruch drgający. Im bardziej jest ona naprężona, tym większa jest jej częstotliwość drgań. Częstotliwość ta może osiągać 10^20 i więcej herców. Oprócz ruchu drgającego kwant wykonuje ruch postępowy, liniowy. Jego prędkość wynosi zawsze 299792458 m/s.
Drgające końcówki i wierzchołki sprężynki wytwarzają z ciemnej energii linie sił.
Dwa drgające z różną częstotliwością końce sprężynki, wytwarzają linie sił pola magnetycznego.
Dwa drgające z różną częstotliwością wierzchołki sprężynki, wytwarzają dwie różne pod względem „siły” linie pól, równoległe do siebie i prostopadłe do linii pola magnetycznego. Na rysunku „siłę” tych linii odzwierciedla ich grubość.
UWAGA! Kwant energii wytwarza trzy rodzaje linii sił. We Wszechświecie istnieje trzy rodzaje pól siłowych. Są to: pole elektryczne, pole magnetyczne, pole grawitacyjne.
|
Notka 20.12.2010r.
|
Już od wielu lat teoretycy uczą nas, że poznanie naukowe składa się z trzech etapów. Są to:
1. Sformułowanie problemu.
2. Podanie sposobu rozwiązania problemu, postawienie hipotezy.
3. Weryfikacja hipotezy.
W przypadku Modelu 31 powyższe etapy przedstawiają się następująco.
1. Sformułowanie problemu. Jak zbudowany jest atom?
2. Postawienie hipotezy. Wychodząc od ciemnej energii, przedstawiono krok po kroku jak z ciemnej energii powstają kwanty energii, jak z kwantów powstają elektron i pozyton, jak z elektronów i pozytonów powstaje proton i neutron, jak protonów i neutronów powstaje jądro atomowe, a na koniec pokazano jak zbudowany jest atom.
3. Weryfikacja hipotezy. Do weryfikacji powyższej hipotezy wykorzystano istniejące już ponad sto lat wyniki badań fizyków. Te wyniki badań (pierwsze energie jonizacji atomów) na rdzeniu jądra atomowego uranu utworzyły układ okresowy pierwiastków, czyli tytułowy Model 31.
Cała „perfidia” powyższego rozwiązania polega na tym, że do weryfikacji absolutnie nowej hipotezy, z fizyki współczesnej wykorzystano tylko stare, prawie zapomniane jej wyniki badań. Taka „mikstura” strasznie ogranicza pole manewru społeczności fizyków. Każdy z nich chciałby autorytatywnie stwierdzić, że Model 31 jest do kitu, do bani, do chrzanu, ale nie powie tak, gdyż w ten sposób zakwestionowałby wyniki badań swoich kolegów po fachu i byłoby to grubymi nićmi szyte kłamstwo. Dlatego fizycy milczą. Milczą też czytelnicy, którzy widzą, że w modelu 31 wszystko jest proste, logiczne i zrozumiałe (są tacy). Nie dowierzają sobie, czekają na zajęcie stanowiska przez fizyków, nie wiedząc, że w tym sporze fizycy są już tylko stroną, a nie sędziami i stroną jak zawsze do tej pory bywało. Sytuacja jest patowa. Wszyscy na coś czekają.
|
Notka 05.01.2011r.
|
Tak jak atomy, kwanty mogą tworzyć wyższe formy organizacji materii w swoim świecie. Z przykładowego jądra atomu argonu (notka 10.11.2010) widać, że odległości od jądra elektronów danej pary protonów różnią się nieznacznie. Oznacza to, że elektrony te wytwarzają bardzo podobne, (ale nie identyczne) kwanty energii. Różnią się one długością ramion i wierzchołków, które drgają ze zbliżoną do siebie częstotliwością. Ponieważ nie jest to częstotliwość identyczna kwanty mogą się przyciągać i łączyć. Poniższy rysunek przedstawia pierwszy etap organizacji w świecie kwantów energii.

Jest to kwant zespolony. Jak widać wszystkie linie pól tego kwantu są prostopadłe do siebie [aby nie zaciemniać obrazu, na rysunku nie umieszczono linii pola magnetycznego widocznych na rysunku kwantu pojedynczego (patrz notka 24.11.2010)]. Te dwa pojedyncze kwanty tworzące kwant zespolony, drgają w tej samej fazie, kierunki ich drgań są prostopadłe do siebie i do kierunku ich ruchu (osi x) i przemierzają przestrzeń z prędkością 299 792 458 m/s.
Linia E kwantu, w fizyce współczesnej wyznacza kierunek drgań wektora elektrycznego promieniowania elektromagnetycznego. Linia B kwantu, w fizyce współczesnej wyznacza kierunek drgań wektora magnetycznego promieniowania elektromagnetycznego. Dociekliwy czytelnik zauważy, że w/w własności kwantu zespolonego w pełni wyczerpują obowiązującą w fizyce współczesnej definicję fali elektromagnetycznej, mimo, że kwant ten jest korpuskułą, a nie falą.
Powyższy kwant zespolony stanowi podstawowy składnik gazu kwantowego wypełniającego cały Wszechświat i nieustannie produkowanego przez wszystkie ciała masowe.
|
Notka 10.01.2011r.
|
Jeżeli przedstawiony w powyższej notce kwant zespolony, przy pomocy sił pola magnetycznego połączy się z innymi kwantami, to będą one poruszać się po linii prostej wzdłuż osi x tak jak pokazuje to poniższy rysunek.

Tak połączone kwanty tworzą to, co obecnie nazywane jest falą elektromagnetyczną lub promieniem światła. Ponieważ każdy z tych kwantów napędzany jest oddzielnie przez ciemną energię, nie istnieje problem zwiększających się oporów ruchu wynikających z wydłużania się promienia świetlnego. Inaczej mówiąc, promień świetlny jest to pociąg składający się z samych lokomotyw, a nie pociąg składający się z wagonów i pchającej je lokomotywy. Taki pociąg może wydłużać się w nieskończoność, jeżeli będziemy stale podczepiać mu nowe lokomotywy. Urządzeniem stale produkującym te kwanty – lokomotywy jest źródło światła. Miejsca połączeń poszczególnych kwantów (R na rysunku), są punktowe, czyli obrotowe, co oznacza, że np. kierunek drgań wektora elektrycznego każdego kwantu może przyjmować wokół osi x wartość od zera do 360 stopni. Czyli powyższy rysunek przedstawia budowę promienia światła niespolaryzowanego.
Kwant energii jest drgającą struną, kwant zespolony jest drgającą korpuskułą. Z takich połączonych liniowo korpuskuł zbudowany jest promień świetlny. Promień świetlny nie jest falą. Po kwancie zespolonym, promień świetlny jest drugim i ostatnim etapem organizacji materii w świecie kwantów.
Do organizacji materii w świecie kwantów wykorzystywane są tylko siły
(linie) pola magnetycznego wytwarzane przez kwanty energii.
|
Notka 14.01.2011r.
|
Rysunek w powyższej notce pokazuje promień światła niespolaryzowanego. W promieniu tym poszczególne drgające kwanty zespolone poruszają się po wzdłuż osi x
i mają indywidualną możliwość obrotu wokół tej osi. Pewne ciała, np. polaroidy „wygładzają” promień świetlny, ustawiają kwanty promienia w jednej płaszczyźnie tak jak to przedstawia rysunek poniżej.

Na czym polega to „wygładzenie”, czyli polaryzacja promienia świetlnego? Uprzednio wykazano (notka 24.11.2010), że drgający kwant jest dipolem magnetycznym, jest małym magnesem. Magnesy mogą przyciągać się biegunowo oraz niebiegunowo (bocznie), przy czym siła przyciągania biegunowego jest znacznie większa od siły przyciągania niebiegunowego. W promieniu światła niespolaryzowanego kwanty przyciągają się niebiegunowo (patrz rysunek w notce poprzedniej), zaś w promieniu światła spolaryzowanego kwanty przyciągają się biegunowo (patrz rysunek powyższy). Z rysunku tego widać, że w promieniu światła spolaryzowanego nie istnieje już możliwość obrotu kwantów wokół osi x.
Z powyższych rozważań wynika, że promień światła spolaryzowanego, oprócz tego, że jest bardziej uporządkowany jest też bardziej trwały, niż promień światła niespolaryzowanego. Powyższy rysunek pokazuje jak bardzo promień światła spolaryzowanego przypomina falę elektromagnetyczną przedstawianą w podręcznikach fizyki, chociaż taką falą wcale nie jest.
|
Notka 17.01.2011r.
|
Autor Modelu 31 zadał fizykom jedno pytanie.
Dlaczego fundamentalne wyniki badań fizyków XX wieku (energie jonizacji pierwiastków) na bazie Modelu 31 utworzyły układ okresowy pierwiastków?
Oto odpowiedzi tych, którzy zechcieli zabrać głos w tej sprawie.
- Pańskie modele są całkowicie bezwartościowe.
- Cieszę się, że osoby spoza grupy fizyków akademickich zajmują się podstawami mechaniki kwantowej.
- Co miesiąc otrzymuję wiele takich prac od pasjonatów fizyki z całego świata.
- Pańskie założenia są sprzeczne z mechaniką kwantową.
- Obecnie stosowane w fizyce modele są znacznie sprawniejsze.
- Próbuje się pan dostać do Formuły 1, a nie zaliczył pan ani jednego wyścigu gokartem.
- Parzyste lub nie są twory wymyślone przez matematyków (dzielą się przez dwa bez reszty lub nie).
- Gdyby dzisiejsze teorie fizyczne były nieprawdziwe, to autor nie mógłby ich spisać na komputerze, nie mówiąc już o ich opublikowaniu w sieci.
A przecież pytanie brzmiało. Dlaczego fundamentalne wyniki badań fizyków XX wieku na bazie Modelu 31 utworzyły układ okresowy pierwiastków?
Reasumując.
Tato, skąd się biorą dzieci?
Usiądź synku prosto.
|
Notka 31.01.2011r.
|
Każdy kwant zbudowany jest ze sprężystej struny o długości L (patrz poniższy rysunek).

Odpowiednio ukształtowany z tej struny kwant jest oscylatorem. Może on posiadać różne długości (L1, L2, L3, L4, …Ln). Im mniejszą posiada długość, tym bardziej jest naprężony i tym większa jest jego częstotliwość drgań. Częstotliwość ta może osiągać wartość 10^23 Hz. Każde ciało produkuje określone spektrum częstotliwości drgań kwantów, a górny i dolny zakres tego spektrum zależy od temperatury ciała. Im wyższa temperatura, tym wyższy jest zakres częstotliwości drgań kwantów. Kwanty o najmniejszej długości, czyli z najwyższego zakresu częstotliwości drgań (kwanty gamma) wytwarzane są przez najbardziej gorące gwiazdy.
Reasumując.
Kwant nie jest falą, pomimo, że posiada długość i częstotliwość drgań. Kwant energii jest drgającą cząstką, oscylatorem przemieszczającym się w przestrzeni z określoną prędkością. Przedstawiona na rysunku długość kwantów, przypuszczalnie jest rzędu 10^-15, 10^-18 m, zaś fizycy traktując kwant jako falę, bez cienia żenady dopuszczają istnienie kwantów o długościach od pikometrów do kilometrów.
|
Notka 08.02.2011r.
|
Weźmy pod uwagę dwa pierwsze kwanty z rysunku powyższej notki. Posiadają one długość L1 i L2. Kwant L1 ma mniejszą długość, ale posiada większą częstotliwość drgań. Na poniższym rysunku przedstawione są promienie, jakie tworzyć będą te kwanty, gdy będą emitowane przez ciało o określonej temperaturze.

Na rysunku tym widać, że promień kwantów o wyższej częstotliwości wydłuża się wolnej, niż promień kwantów o niższej częstotliwości, chociaż w obu promieniach ilość kwantów zwiększa się z tą samą szybkością. Oznacza to, że promień zbudowany z kwantów o mniejszej częstotliwości, dany punkt w przestrzeni osiągnie wcześniej, niż promień zbudowany z kwantów o większej częstotliwości. Różnica czasowa w dotarciu do mety obu promieni będzie tym większa im dłuższy dystans będą one miały do przebycia. Powyższe rozważania dotyczą sytuacji, gdy oba rodzaje kwantów produkowane są przez ciało mniej więcej w tym samym czasie, gdy ich częstotliwości drgań są zbliżone. Wiadomym jest, że produkcja kwantów o znacznie mniejszej częstotliwości (większej długości) odbywa się z dużym opóźnieniem, gdy ciało już częściowo ostygło. Wtedy dla sytuacji przedstawionej na rysunku powinniśmy zaobserwować, że oba promienie, po przebyciu ogromnego dystansu docierają do mety mniej więcej w tym samym czasie.
To jest teoria. A jaka jest rzeczywistość? Tu autor zwraca się o pomoc do czytelników, szczególnie do miłośników astronomii. Proszę o wiadomości (linki):
Czy przy detekcji kwantów gamma przybywających z ogromnych odległości (setki milionów lat świetlnych) astrofizycy zaobserwowali, że kwanty o mniejszej częstotliwości drgań dotarły do Ziemi znacznie szybciej niż kwanty o większej częstotliwości?
Czy przy detekcji kwantów gamma przybywających z odległości miliardów lat świetlnych astrofizycy zaobserwowali, że kwanty znacznie różniące się częstotliwością (np. milion razy) dotarły do Ziemi mniej więcej w tym samym czasie?
Gdyby tak było, byłoby to niezwykle istotne potwierdzenie postulowanej powyżej teorii budowy i sposobu przemieszczania się promienia światła, a fizycy zaczęliby wątpić w stałość prędkości światła.
|
Notka 18.02.2011r.
|
Prosił pan musiał sam.
Rok 2005. Naziemny teleskop MAGIC znajdujący się na Wyspach Kanaryjskich rejestruje długi, trwający ponad 20 minut błysk gamma. Po trwającej pół miliarda lat podróży fotony o mniejszej częstotliwości zostały zarejestrowane wcześniej niż fotony o większej częstotliwości. Różnica czasowa była bardzo duża. Wynosiła aż cztery minuty.
Rok 2009. Umieszczony na orbicie okołoziemskiej satelita Fermi rejestruje krótki, trwający 2,1 sekundy błysk gamma. Po trwającej 7.3 miliarda lat podróży fotony o milion razy mniejszej energii zostały zarejestrowane o 0,829 s wcześniej, niż fotony o większej energii.
Materiały źródłowe odnośnie powyższych obserwacji można znaleźć po wystukaniu w wyszukiwarce hasła "gamma ray burst 090510".
Powyższe wyniki badań w pełni potwierdzają przewidywania teoretyczne zawarte w poprzedniej notce i tym samym potwierdzają przedstawioną w Modelu 31 budowę kwantu energii, budowę promienia światła i sposób jego „podróżowania” w przestrzeni kosmicznej.
W omawianym temacie ukazało się wiele artykułów naukowych ( np. artykuł w „Astrophysical Journal” z 20 maja 2010 r. napisało 179 naukowców reprezentujących 64 instytucje naukowe z całego świata ). Zawierają one wiele hipotez mających wyjaśnić powyższe obserwacje i jak zawsze są one bardzo egzotyczne.
|
Notka 28.02.2011r.
|
Pewien polski profesor fizyki z Ameryki na łamach Salonu24 wyraził się tak.
„Dziwię się i dziwić nie przestanę, dlaczego pierwiastki sąsiadujące ze sobą w układzie okresowym (nikiel i miedź, pallad i srebro, platyna i złoto) tak bardzo różnią się przewodnictwem właściwym”.
Chodzi o to, że w każdej parze tych metali, jeden jest bardzo dobrym przewodnikiem prądu (miedź, srebro i złoto), zaś drugi jest bardzo złym przewodnikiem prądu (nikiel, pallad, platyna). Prawdopodobnie kiedy w/w profesor obejrzy ten rysunek dziwić się przestanie. Rysunek ten przedstawia rozkład przewodnictwa metali przejściowych układu okresowego powstałego na bazie Modelu 31. Z modelu tego widać wyraźnie, że wyżej wymienione pierwiastki tak naprawdę nie są sąsiadami. One znajdują się na różnych biegunach jądra atomowego. Te z parzystymi liczbami atomowymi (nikiel-28, pallad-46, platyna-78) są na jednym biegunie i są opornikami, zaś te z nieparzystymi liczbami atomowymi (miedź-29,
srebro-47, złoto-79) są na drugim biegunie i są przewodnikami.
|
Notka 18.04.2011r.
|
Wśród czytelników Modelu 31 są tacy, którym on nie pasuje. Myślą oni tak. Co za pieprzony megaloman, ciekawe czemu nikt jeszcze nie przywalił temu modelowi tak, żeby jego autorowi w pięty poszło. I wciskają ENTER.
Są też czytelnicy, którym Model 31 pasuje. Myślą oni tak. Wszystko logiczne, spójne, nie ma się do czego przyczepić, ciekawe co z tego wyniknie. I wciskają ENTER.
Czasami czytelnicy obu w/w grup zadają fizykom pytanie , co myślą o Modelu 31.
Ci natychmiast wciskają ENTER.
Jest pewna grupa ludzi, którym nie pasuje fizyka współczesna i na własną rękę poszukują rozwiązań pewnych zagadnień. Ci zagadnięci o Model 31 wciskają enter szybciej niż fizycy.
|
Notka 20.06.2011r.
|
Fizyk zagadnięty o Model 31, twierdzący, że takie opracowania często trafiają na jego biurko mija się z prawdą. W tamtych opracowaniach słowa autorów są przeciwko słowom fizyków. W Modelu 31 przeciwko słowom fizyków są ich własne fundamentalne wyniki badań (pierwsze energie jonizacji atomów). Wyniki te w całej rozciągłości potwierdzają Model 31, a w fizyce współczesnej nie potwierdzają niczego. Pełnią w niej rolę zupełnych sierot.
|
Notka 03.10.2011r.
|
W 1827 r. Robert Brown odkrył, że cząstki koloidowe znajdują się w wiecznym, chaotycznym ruchu. Powstało pytanie. Co jest tego przyczyną? Prawie 100 lat później fizycy odkryli, że ruchy te są wywołane zderzeniami ze znajdującymi się w wiecznym, chaotycznym ruchu atomami środowiska. W tym momencie rzeczą całkowicie naturalną było zadać kolejne pytanie. Co jest przyczyną wiecznego chaotycznego ruchu atomów? Jednak fizycy takiego pytania nigdy sobie nie zadali. Przyjęli, że ruch atomów wynika „jakoś tak sam z siebie” i że nie ma potrzeby szukać jego przyczyny. W ten sposób definitywnie zamknięta została, tak obiecująco rozpoczęta, droga do zgłębienia tajemnic mikroświata, a niedługo potem, swój „triumfalny marsz do nikąd” rozpoczęła mechanika kwantowa.
|
Notka 10.10.2011r.
|
Gdyby Model 31 powstał 100 lat temu i gdyby wtedy fizycy jednak zapytali, co jest przyczyną wiecznego chaotycznego ruchu atomów, otrzymaliby odpowiedź, że jest on wywołany wiecznym, chaotycznym ruchem kwantów energii, które:
wypełniają wszechświat,
poruszają się z prędkością 299792458km/s,
różnią się między sobą tylko częstotliwością drgań, czyli temperaturą.
|
Notka 20.10.2011r.
|
Gdyby sto lat temu fizycy wiedzieli już, że przyczyną wiecznego chaotycznego ruchu trójwymiarowych atomów są dwuwymiarowe kwanty energii, całkowicie słuszne byłoby kolejne pytanie. Co jest przyczyną wiecznego, chaotycznego ruchu kwantów energii?
Odpowiedź Modelu 31 na to pytanie byłaby następująca. Przyczyną tego ruchu są jednowymiarowe cząstki ciemnej energii określanej również jako: energia próżni, energia punktu zerowego, stała kosmologiczna, antygrawitacja, kwintesencja, eter.
|
Notka 24.10.2011r.
|
Gdyby 100 lat temu fizycy wiedzieli już, że kwanty energii napędzane są przez cząstki ciemnej energii ani chybi zadaliby pytanie. Co jest siłą napędową cząstek ciemnej energii?
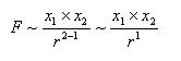
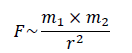
Aby to wyjaśnić wykorzystamy szczyptę matematyki. Najogólniejsza postać wzoru Coulomba wygląda tak.

F - siła oddziaływania,
x - ilość nośników wywołujących oddziaływania,
r - odległość nośników wywołujących oddziaływania,
n - ilość wymiarów nośnika wywołującego oddziaływania.
W modelu 31 nośnikami oddziaływań (elektrostatycznych i magnetycznych) są cząstki elementarne elektron i pozyton. Z przedstawionej w Modelu 31 budowy tych cząstek wynika, że są one trójwymiarowe. Uwzględniając to w powyższym wzorze otrzymujemy:

Oznacza to, że siła oddziaływania elektrostatycznego i magnetycznego maleje z kwadratem odległości. Coulomb ustalił to już w 1785 roku.
Z przedstawionej w Modelu 31 budowy kwantu energii wynika, że jest on płaski dwuwymiarowy. Uwzględniając to we wzorze wyjściowym otrzymujemy

Oznacza to, że w świecie kwantów siła oddziaływania między nimi maleje z odległością w pierwszej potędze.
Z Modelu 31 wynika, że cząstki ciemnej energii są jednowymiarowe. Uwzględniając to we wzorze wyjściowym otrzymujemy:

Oznacza to, że w świecie ciemnej energii siła oddziaływania między jej cząstkami nie zależy od odległości między nimi. Tłumacząc to na język fizyki. Cząstki ciemnej energii poruszają bez oporu w doskonałej próżni. Zderzenia tych cząstek są doskonale sprężyste. Ciemna energia, trójwymiarowa przestrzeń i czas istniały zawsze. Z ciemnej energii powstało światło i masa. Z ciemnej energii powstało wszystko. Czyli nie musimy już zadawać pytania. Co wywołuje i podtrzymuje ruch cząstek ciemnej energii?
|
Notka 28.10.2011r.
|
Autor sam nie wymyślił najogólniejszej postaci poniższego wzoru Coulomba.

Wzór ten funkcjonuje w fizyce współczesnej od dawna.
Według Modelu 31, we wzorze tym n oznacza ilość wymiarów cząstek będących nośnikami oddziaływań i przyjmuje maksymalną wartość 3 (patrz powyższa notka).
Według fizyki współczesnej we wzorze tym n oznacza ilość wymiarów przestrzeni i nie ma żadnych przesłanek teoretycznych ograniczających jego wartość. Gdy nie ma ograniczeń można spekulować, więc fizycy spekulują. Wymyślają przestrzeń dwu, cztero, pięciowymiarową i tam przenoszą się ze swoimi rozważaniami o naturze Wszechświata. Ostatnio zatracając wszelki umiar, teorię strun umieścili w dziesiątym i dwudziestym szóstym wymiarze przestrzeni. I za nic mają to, że przestrzeń nas otaczająca jest tylko trójwymiarowa..
|
Notka 06.02.2012r.
|
Model 31 w prosty sposób odpowiada na fundamentalne pytania.
1. Dlaczego światło (kwanty energii) w próżni posiadają stałą prędkość?
Dlatego, że kwanty energii, zbudowane z takich samych porcji materii wprawiane są w ruch przez będące w wiecznym ruchu elementarne cząstki materii zwane obecnie ciemną energią. Wszystkie kwanty we Wszechświecie mają jednakowe energie kinetyczne a różnią się tylko częstotliwością drgań, czyli mocą.
2. Dlaczego światło posiada stałą prędkość niezależnie od prędkości źródła tego światła?
Dlatego, że atomy ciała tylko wytwarzają kwanty energii, zaś cząstki ciemnej energii te kwanty w ruch wprawiają i nadają im prędkość 299792458 m/s.
A jak na powyższe pytania odpowiadają fizycy? Bardzo specyficznie. Uważają, że nie jest rolą fizyki stawiać pytanie, dlaczego i odpowiadać na nie, że są to pytania z zakresu filozofii, metafizyki, że rolą fizyki jest „zaobserwować, zmierzyć, przedstawić matematycznie”. Naprawdę tak uważają!
|
Notka 09.02.2012r.
|
WIELKI WYBUCH (WW) – hipotetyczny początek Wszechświata.
WIELKI RESET (WR) – hipotetyczny powrót fizyki do Galileusza, Newtona, Coulomba.
WW raczej nie było, WR chyba będzie.
|
Notka 20.02.2012r.
|
Definicja temperatury według fizyki współczesnej.
Temperatura jest to miara energii kinetycznej atomów ciała.
Mamy kulę wydrążoną w środku. Ze środka tej kuli wypompowujemy powietrze. Znaczy to, że wewnątrz kuli nie ma żadnych atomów.
Zgodnie powyższą definicją wewnątrz kuli nie powinno być żadnej temperatury.
A logika podpowiada, że wewnątrz kuli powinna być taka sama temperatura, jaką ma kula.
Definicja temperatury według Modelu 31.
Częstotliwość drgań kwantów energii (moc kwantów energii) wiecznie emitowanych przez atomy danego ciała, w skali makro jest odczuwana i mierzona jako temperatura tego ciała.
Zgodnie z powyższą definicją kwanty energii emitowane przez atomy kuli wypełniają przestrzeń wewnątrz kuli i dlatego jest tam taka sama temperatura, jaką ma wydrążona kula.
Czyli jest tak, jak podpowiada logika.
|
Notka 23.02.2012r.
|
Jaka jest temperatura Kosmosu?
Według Modelu 31.
Wszystkie ciała wytwarzają kwanty z cząstek ciemnej energii i emitują je na zewnątrz.. Ponieważ w przyrodzie nic nie ginie kwanty te równomiernie odkładają się w głębinach Kosmosu. Od początku istnienia gwiazd, galaktyk, planet, emitowane przez nie kwanty podniosły temperaturę Kosmosu do 2,735 K.
Według fizyki współczesnej.
W głębinach Kosmosu nie ma atomów, więc nie ma on temperatury. Jednak Kosmos nie jest pusty. Wypełnia go promieniowanie reliktowe, będące pozostałością po Wielkim Wybuchu. Promieniowanie to „stwarza wrażenie, jakby emitowane było przez ciało doskonale czarne o temperaturze 2,735 K”. Czyli Kosmos temperaturę ma i nie ma. Trochę to dziwne jak na twierdzenie naukowe.
|
Notka 27.02.2012r.
|
Jak działa Wszechświat?
Wszystkie atomy Wszechświata, przerabiają nieustannie cząstki ciemnej energii w kwanty energii. Rolą tych kwantów jest nie dopuszczenie do sklejenia się atomów ciała w jedną kulę. Kwanty energii, po powstaniu i spełnieniu swej roli wewnątrz ciał nieustannie wydalane są przez te ciała do otoczenia. Oznacza to, że ilość ciemnej energii we Wszechświecie stale zmniejsza się, a ilość kwantów energii stale zwiększa się. Jest możliwe, że w pewnym momencie zabraknie ciemnej energii do produkcji kwantów przez atomy. W tej sytuacji nastąpi Wielki Krach, czyli rozpad atomów i kwantów na cząstki ciemnej energii, czyli na cząstki z których kiedyś powstały. Wszystko wróci do punktu wyjścia.
|
Notka 09.03.2012r.
|
„Droga do atomu” wg Modelu 31.
Cząstki „ciemnej” energii wypełniały i wypełniają Wszechświat.
Z cząstek „ciemnej” energii powstały linie pól.
Z linii pól powstały kwanty energii.
Z kwantów energii powstały elektrony i pozytony.
Z elektronów i pozytonów zbudowane są protony i neutrony.
Z protonów i neutronów zbudowane są jądra atomowe.
Każdy proton jądra więzi jeden elektron w ściśle określonej odległości od niego.
I model atomu gotowy.
Ten model, fizycy w całej rozciągłości potwierdzili swoimi wynikami badań. Dzięki nim można wyznaczyć w/w odległość od jądra każdego elektronu wchodzącego w skład atomu danego pierwiastka. Można powiedzieć, że fizycy „ubrali” jądra atomów pierwiastków w elektrony i te „ elektronowe ubranka” leżą na atomach jak ulał.
Powyższy model atomu w całości opiera się na klasycznej fizyce Newtona i Coulomba.
Dla porównania. Fizyk, popularyzator fizyki w sieci, tak przedstawia atom.
….układ zwany atomem jest tajemniczym, holistycznym bytem interferujących ze sobą stojących fal prawdopodobieństwa, zwanych żargonowo falami “psi”. (….) Fale prawdopodobieństwa elektronów, oraz nukleonów w atomie tworzą zawiłe, wielowymiarowe formy drgające, a tym samym dźwięczące, w przestrzeniach zespolonych. Fale “psi” dzieją się w wielowymiarowych przestrzeniach nie fizycznych, lecz matematycznych i są opisywane funkcją zmiennych nie rzeczywistych, lecz zespolonych.
|
Notka 21.05.2012r.
|
Jaką falą jest dźwięk?
Aby to rozstrzygnąć przygotowujemy doświadczenie. Udział w nim bierze czterech niezależnych obserwatorów i bezstronna komisja.

M1 – membrana pozioma
M2 – membrana pionowa
S – szczelina
G – generator dźwięku
A – obserwator membrany pionowej od strony zewnętrznej
B – obserwator membrany poziomej od strony zewnętrznej
C – obserwator membrany poziomej i pionowej od strony wewnętrznej
D – obserwator przebiegu całego doświadczenia
Włączamy generator dźwięku G.
Obserwator A stwierdza. Membrana pionowa drga podłużnie. Wnioskuje, że dźwięk jest falą podłużną. Bezstronna komisja sprawdza i przyznaje mu rację.
Obserwator B stwierdza. Membrana pozioma drga poprzecznie. Wnioskuje, że dźwięk jest falą poprzeczną. Bezstronna komisja sprawdza i przyznaje mu rację.
Obserwator C stwierdza. Membrana pionowa drga podłużnie, zaś pozioma poprzecznie. Wnioskuje, że dźwięk przemieszcza się jako fala poprzeczna a po dotarciu do przeszkody kolapsuje na falę podłużną. Bezstronna komisja sprawdza i przyznaje mu rację.
Obserwator D nie wytrzymuje i zwraca się do komisji. Trzech na raz nie może mieć racji. Bezstronna komisja przyznaje mu rację i sama udaje się na obserwację (do szpitala).
Gdyby powyższe doświadczenie wykonał Thomas Young na początku XIX wieku, to już 150 lat przed powstaniem mechaniki kwantowej wiedzielibyśmy, że przyroda jest absurdalna.
|
Notka 05.11.2012r.
|
Jeżeli w doświadczeniu z dwiema szczelinami światło i dźwięk dają ten sam efekt (podlegają interferencji) i jeżeli bezspornie stwierdzono,
że dźwięk jest falą podłużną, to tak samo bezspornym jest, że w doświadczeniu z dwiema szczelinami światło również jest falą podłużną.
Nie ma żadnych podstaw uważać, że w doświadczeniu z dwiema szczelinami światło jest falą poprzeczną i wszelka dyskusja na ten temat
powinna być bezprzedmiotowa. Niestety tak nie jest.
|
Notka 13.11.2012r.
|
Teoretyczne wyjaśnienie (na bazie Modelu 31), zależności występujących w całkowicie empirycznym prawie Ampera.
Z rozważań przeprowadzonych w tym opracowaniu wynika, że jądro każdego atomu zbudowane jest z jąder helu. W jądrach tych naprzeciwko każdego protonu w różnych odległościach umieszczone są elektrony. Oznacza to, że każdy atom zbudowany jest dipoli elektrycznych, których ilość równa jest ilości protonów budujących jądro atomowe danego pierwiastka. Dla jasności obrazu dalsze rozważania prowadzić będziemy dla atomu helu. Taki atom przedstawia poniższy rysunek.
Rys.1

Jeżeli atom zbudowany jest dipoli elektrycznych, to posiada on moment elektryczny. To z kolei oznacza, że w polu elektrycznym będzie on starał się ustawić wzdłuż linii pola elektrycznego. W tak ustawionym atomie, linie pola magnetycznego elektronów (elektron jest elementarnym dipolem magnetycznym) ustawione są prostopadle do linii zewnętrznego pola elektrycznego. Z rozważań zawartych w niniejszym opracowaniu wynika, że elektrony posiadają spin (+1/2 , - 1/2). Spiny elektronów znajdujące się po przeciwnych jądra atomowego mają różne spiny, co powoduje, że linie pola magnetycznego tych elektronów skierowane są w tą samą stronę.
Rysunek poniższy przedstawia widok „z przodu” wyżej omawianego atomu.
Rys.2

Widać na nim jeden z elektronów atomu na tle jądra atomowego. Czarne kropki to linie pola elektrycznego.
Przejdziemy teraz do omawiania przewodnika w przekroju kołowym przez który płynie prąd. Taki przewodnik o przekroju kołowym przez który płynie prąd przedstawia poniższy rysunek.
Rys.3

W przewodniku tym, pod wpływem pola elektrycznego atomy starają się ustawić tak jak pokazano wyżej. Uporządkowane atomy przewodnika łączą się ze sobą biegunami magnetycznymi elektronów i tworzą znacznie większy wtórny dipol magnetyczny. Asymetryczna budowa elektronów powoduje, że dipol utworzony przez te elektrony zagina się na kształt rogala. Na zewnątrz przewodnika pojawia się linia pola magnetycznego tego dipolu. W przewodniku z prądem jest ogromna ilość takich dipoli magnetycznych. Układ linii magnetycznych tych dipoli przedstawia poniższy rysunek.
Rys.4

W miejscach przecięcia się tych linii powstają wypadkowe sił, które tworzą nowe, kołowe linie magnetyczne. Im bliżej przewodnika, tym silniejsze są te linie i tym gęściej są ułożone.
I tak osiągnięto to, co było obiecane. Na bazie Modelu 31, teoretycznie zostało wyjaśnione całkowicie empiryczne prawo Ampera.
Zależności wynikające z prawa Ampera są doświadczeniem rozstrzygającym dla
Modelu 31. Po raz drugi fundamentalne wyniki badań fizyków w całej rozciągłości potwierdzają słuszność tego modelu.
|
Notka 04.14.2012r.
|
Z „obrazków ” przedstawionych w poprzedniej notce wynikają bardzo istotne wnioski.
1. Pierwszy z nich pozwoli odpowiedzieć na pytanie. Czym jest prąd elektryczny?
Prąd elektryczny jest uporządkowanie dipoli elektrycznych atomów przewodnika pod wpływem pola elektrycznego wytworzonego przez źródło prądu. To uporządkowanie dipoli elektrycznych powoduje jednoczesne uporządkowanie elektronów budujących atomy. Elektrony, będące elementarnymi dipolami magnetycznymi, układają się prostopadle do linii pola elektrycznego (tak jak pokazuje to trzeci rysunek) i tworzą w przewodniku większe dipole wtórne, czego następstwem jest pojawienie się linii pola magnetycznego w przestrzeni wokół przewodnika.
W skrócie powyższe wygląda tak.
Pole elektryczne w przewodniku porządkuje atomy przewodnika, uporządkowane atomy tworzą dipole magnetyczne, dipole magnetyczne wytwarzają linie pola magnetycznego.
Na pytanie, co to jest prąd elektryczny, możemy odpowiedzieć jeszcze krócej.
Jest to uporządkowanie atomów przewodnika pod wpływem pola elektrycznego.
Taka definicja prądu elektrycznego już nigdy nie wprawi nas w zakłopotanie, gdy ktoś zapyta. Dlaczego nawet w bardzo długim przewodniku prąd pojawia się prawie jednocześnie w całym przewodniku? Temu komuś odpowiadamy tak. Bo po włączeniu prądu, prawie jednocześnie w całym przewodniku pojawia się pole elektryczne.
2. Przewodnik z prądem wytwarzający pole magnetyczne ma na ogół średnicę kilku milimetrów, zaś linie pola wytwarzane przez dipole magnetyczne tego przewodnika mają zasięg kilkudziesięciu centymetrów. Świadczy to o tym, jak w porównaniu z polem zwykłego magnesu, potężne jest pole magnetyczne wytwarzane przez dipole magnetyczne powstałe w przewodniku z prądem Linia dipolu magnetycznego wytworzonego przez przewodnik z prądem przypomina dorodny kłos zboża złamany w połowie i z powrotem przygięty do ziemi (patrz rysunek trzeci w poprzedniej notce). Taki kształt tej linii jest brzemienny w skutki dla fizyków. W linii tej dwa jednakowe wektory siły tej samej linii znajdują się tuż obok siebie, są prawie równoległe i są skierowane w przeciwnych kierunkach (patrz rysunek 3 po prawej). Oznacza to, że żaden wskaźnik, żadna igła magnetyczna nie wykryje istnienia tej linii, dlatego, że każdy wskaźnik jest zbyt duży, zbyt toporny, żeby wykryć prawdziwą naturę tak filigranowej linii magnetycznej zbudowanej w tak specyficzny sposób. Czyli człowiek nigdy nie wiedziałby o wytwarzaniu pola magnetycznego przez przewodnik z prądem, gdyby nie fakt, że linie te przecinają się wzajemnie (patrz rysunek 4 poprzedniej notki). Wypadkowe wektorów sił tych linii w miejscach przecięcia tworzą nowe, wtórne, wirtualne linie pola magnetycznego w kształcie okręgu. Te linie są już na tyle silne i tak odlegle od siebie, że można je wykryć przy pomocy igły magnetycznej. Po raz pierwszy zrobił to Hans Christan Oersted w 1820 roku. Wynik doświadczenia Oersteda wprawił fizyków w konsternację. Oto pojawiło się coś, co wydało się nie mieć źródła, a jego siły nie działają wzdłuż linii rozchodzenia się pól, lecz prostopadle do nich (są niecentralne). Te błędne, jak z powyższego widać poglądy zostały utrwalone w dwóch fundamentalnych prawach fizyki. Niecentralność sił pola magnetycznego w swoim prawie zapisał Andre Marie Ampere w 1820 r., zaś bezźródłowość tego pola w jednym ze swoich praw uwiecznił James Clerk Maxwell w 1861 r.
3. Z matematycznego zapisu prawa Ampera

wynika, że wektor indukcji magnetycznej przewodnika z prądem maleje ze wzrostem odległości od przewodnika i wartość zero to pole osiągnie w nieskończoności.
Otóż nie jest to do końca prawdą. Indukcja maleje do zera w pewnej ściśle określonej odległości od przewodnika z prądem. Na rysunku czwartym jest to odległość l. W odległości większej od l żadne mierniki nie stwierdzą obecności pola magnetycznego.
4. Z rysunku 4 poprzedniej notki wynika, że wewnątrz przewodnika z prądem nie występują linie pola magnetycznego, zaś z innego zapisu prawa Ampera

wynika, że wewnątrz tego przewodnika pole magnetyczne występuje. Powstaje pytanie, czy fizycy stwierdzili doświadczalnie występowanie pola magnetycznego wewnątrz przewodnika z prądem. Jeżeli nie, to ten wyżej wzmiankowany matematyczny zapis prawa Ampera jest nieuzasadnioną spekulacją wynikającą z niedostatku wiedzy o teoretycznych podstawach magnetyzmu.
|
Notka 20.12.2012r.
|
Kolejne doświadczenie rozstrzygające.
Weźmy pod uwagę płaski przewodnik z prądem.

Na rysunku tym linie pola elektrycznego w przewodniku ustawione są prostopadle do płaszczyzny rysunku (czarne kropki). Po lewej pokazana jest pojedyncza linia pola magnetycznego utworzona przez dipole elektryczne przewodnika z prądem. Po prawej pokazane jest wiele linii tego pola. Linie te przecinają się i tworzą wektory wtórnego pola magnetycznego tak jak w przewodniku o przekroju kołowym. Jednak w tym przypadku jest kilka bardzo istotnych różnic.
Te nowe, wtórne wektory:
- skierowane są równolegle do płaszczyzny przewodnika,
- wszystkie mają jednakową wartość niezależnie od odległości od przewodnika,
- te nad przewodnikiem mają przeciwny zwrot w porównaniu z tymi pod przewodnikiem.
- w odległości większej niż l od przewodnika nagle, definitywnie i nieodwołalnie wektory „znikają”.
W ten oto sposób uzyskaliśmy materiał na kolejne doświadczenie rozstrzygające dla Modelu 31. Jeżeli w banalnie prostym doświadczeniu zaobserwowane zostaną przedstawione wyżej zależności, będzie to kolejny, niepodważalny dowód słuszności Modelu 31.
A może takie doświadczenia były już wykonywane?
|
Notka 02.02.2013r.
|
Jeszcze jedno doświadczenie rozstrzygające.
Na podstawie powyższej notki możemy pokazać, jaki będzie rozkład linii pola magnetycznego przewodnika z prądem o przekroju kwadratowym (patrz poniższy rysunek)

Jak widać rozkład linii pola magnetycznego przewodnika o przekroju kwadratowym różni się istotnie od rozkładu linii pola magnetycznego przewodnika z prądem o przekroju kołowym (przedstawionego na rys. 4 w notce 13.12.2012). Skutkuje różnicami w rozkładzie wektorów indukcji. Wektory te mają jednakową wartość w każdej odległości od przewodnika o przekroju kwadratowym.
W tym momencie mamy materiał na kolejne doświadczenie rozstrzygające. Jeżeli potwierdzone zostaną doświadczalnie w/w różnice w rozkładzie wektorów indukcji magnetycznej przewodników z prądem o różnym przekroju, będzie to kolejny, niepodważalny dowód słuszności Modelu 31
|
Notka 02.02.2014r.
|
Experimentum crucis (łac. eksperyment krzyżowy, eksperyment rozstrzygający, dosł. próba krzyża )
– doświadczenie, które w jednoznaczny sposób rozstrzyga, która z konkurencyjnych teorii naukowych
jest prawdziwa, a która fałszywa.
Oto dotychczasowy zestaw experimentum crucis wynikających z Modelu 31.
1. Układ okresowy pierwiastków przedstawiony w notce 12.07.2010.
2. Doświadczenie z dwiema szczelinami przedstawione w notce 04.10.2010.
3. Teoretyczne wyjaśnienie zależności występujących w całkowicie empirycznym prawie Ampera
przedstawione w notce 13.11.2012.
4. Zbadanie rozkładu wektorów indukcji magnetycznej w przewodniku z prądem o przekroju
kwadratowym przedstawionym w notce 02.02.2013.
5. Wyznaczenie mas atomowych pierwiastków w różnych temperaturach przedstawione w notce
20.09.2013 r.
|
Notka 10.02.2014r.
|
Fizycy rozumują tak.
Dźwięk podlega zjawisku dyfrakcji i interferencji.
Dźwięk jest falą podłużną.
Światło podlega zjawisku dyfrakcji i interferencji.
Światło jest falą poprzeczną, bo podlega zjawisku polaryzacji.
|
Notka 20.04.2015r.
|
Problem masy grawitacyjnej.
Wiadomo jest, że ciała naładowane ładunkami przyciągają się lub odpychają. Siła tego przyciągania
lub odpychania zależy od ilości ładunków ciał, a nie od ich masy.
1) 
F - siła oddziaływania,
x - ilość nośników ładunków wywołujących oddziaływania,
r - odległość ładunków wywołujących oddziaływania,
Oddziaływania grawitacyjne różnią się istotnie od oddziaływań wymienionych wyżej. Siła
oddziaływania grawitacyjnego zamiast zależeć od ilości ładunków grawitacyjnych ciała, zależy od
masy ciała.

F – siła oddziaływania,
m – masy ciał,
r – odległość ciał
Gołym okiem widać, że coś tu jest nie w porządku. Logika podpowiada, że oddziaływania elektrostatyczne, magnetyczne i grawitacyjne podlegające tym samym zależnościom, powinny być wolne od takich anomalii. Inaczej mówiąc, trzeba znaleźć nośniki ładunku grawitacyjnego w ciele masowym, a wtedy wszystko stanie się jasne, proste i logiczne.
W niniejszym opracowaniu, krok po kroku pokazano jak powstaje grawitacja. Końcowym wnioskiem tego rozumowania jest, że nośnikiem elementarnego ładunku grawitacyjnego jest proton. Ten prosty wniosek powoduje, że znika wyżej wzmiankowana różnica między oddziaływaniami elektrostatycznymi i grawitacyjnymi.
Dla pola elektrostatycznego do wzoru 1) za x podstawiamy ilości elektronów lub pozytonów, wytwarzających ładunki elektrostatyczne w poszczególnych ciałach.
Dla pola grawitacyjnego do wzoru 1) za x podstawiamy ilości protonów, wytwarzających ładunki grawitacyjne w poszczególnych ciałach.
Pozostaje tylko do wyjaśnienia, dlaczego podstawienie masy ciał do wzoru na siłę grawitacyjną, również spełnia zależność przedstawioną we wzorze 1). W wyjaśnieniu tego pomocne będą wywody dotyczące budowy atomu zawarte w niniejszym opracowaniu.
Atom zbudowany jest z jądra i elektronów. Jądra atomowe zbudowane są z neutronów i protonów. Neutrony są to protony, których ładunki elektrostatyczne zostały zobojętnione elektronami umieszczonymi bardzo blisko tych protonów i w jednakowej od nich odległości. Ładunki elektrostatyczne pozostałych protonów zostały zobojętnione elektronami umieszczonymi w różnej odległości od tych protonów. Poniżej przedstawiono przykładowy atom argonu na którym widać w/w dwa rodzaje zobojętnionych protonów.

Do tej pory było wiadomo, że każdy atom zbudowany jest z jądra i elektronów.
Teraz możemy przyjąć do wiadomości, że każdy atom zbudowany jest ze zobojętnionych protonów, które są nośnikami elementarnych
ładunków grawitacyjnych.
Ponieważ każde ciało zbudowane jest z atomów, więc wszystkie ciała we wszechświecie zbudowane są ze zobojętnionych protonów,
czyli wszystkie ciała są nośnikami ładunków grawitacyjnych. Powstaje pytanie dlaczego są to protony zobojętnione?
Według Modelu 31 proton będąc elementarnym ładunkiem grawitacyjnym jest jednocześnie nośnikiem elementarnego ładunku
elektrostatycznego (pozytonu). Siła oddziaływania ładunku elektrostatycznego jest o dwadzieścia rzędów wielkości (1020)
większa od siły oddziaływania grawitacyjnego. Żeby więc oddziaływanie grawitacyjne protonu mogło się ujawnić, jego
ładunek elektrostatyczny musi zostać zneutralizowany. Realizuje się to przez zobojętnienie dodatniego ładunku pozytonu ujemnym
ładunkiem elektronu. W świetle powyższego, poprawnie powinniśmy napisać tak.
Dla pola elektrostatycznego do wzoru 1) za x podstawiamy ilości elektronów lub pozytonów, wytwarzających ładunki elektrostatyczne w poszczególnych ciałach.
Dla pola grawitacyjnego do wzoru 1) za x podstawiamy ilości protonów zobojętnionych, wytwarzających ładunki grawitacyjne w poszczególnych ciałach.
Ponieważ suma mas protonów zobojętnionych w atomie stanowi dokładnie masę tego atomu, więc gdy do wzoru Newtona

zamiast ilości ładunków grawitacyjnych (zobojętnionych protonów) podstawimy masy ciał również otrzymamy poprawny wynik.
W przedstawiony wyżej sposób uzyskano jedność trzech rodzajów pól (grawitacyjnego, elektrycznego i magnetycznego), której do tej pory nie było. W przedstawiony wyżej sposób wyeliminowano też z fizyki klasycznej pojęcie masy grawitacyjnej i tym samym rozwiązany został istniejący od trzystu lat problem istnienia dwóch mas we wzorach Newtona:
masy grawitacyjnej we wzorze

i masy bezwładnej we wzorze

Problem wyznaczania masy atomów, cząsteczek, cząstek elementarnych.
Z zasady grawitacyjnej Galileusza wynika, że w jednorodnym polu grawitacyjnym, w którym nie ma oporów ruchu, wszystkie ciała poruszają się z tym samym przyspieszeniem niezależnie od ich masy. Oznacza to, że nie jest możliwe wykorzystanie pola grawitacyjnego do dynamicznego wyznaczania masy ciał. Tak jest w rzeczywistości. Nikt, nigdy nie wykorzystał jednorodnego pola grawitacyjnego , w którym nie ma oporów ruchu do dynamicznego wyznaczenia masy ciała. Weźmy teraz pod uwagę jednorodne pole elektryczne lub magnetyczne. Ponieważ wszystkie rodzaje pól podlegają zależnościom przedstawionym we wzorze 1), dla tych pól również powinna obowiązywać w/w zasada, tzn. w jednorodnym polu elektrycznym lub magnetycznym w którym nie ma oporów ruchu nie powinno być możliwe wykorzystanie tych pól do dynamicznego wyznaczania masy ciał. W rzeczywistości tak nie jest. Fizycy wykorzystują te pola do wyznaczania mas atomów, cząsteczek i cząstek elementarnych. Czy popełniają jakiś błąd?
Postaramy się wykazać, że tak jest. Pomocnym tu będzie zapis nie wprost przestawionej powyżej zasady grawitacyjnej Galileusza w odniesieniu do pola elektrycznego i magnetycznego . Brzmi ona tak. Jeżeli w jednorodnym polu elektrycznym lub magnetycznym różne ciała poruszają się z różnymi przyspieszeniami zależnymi od ich masy, tzn. że w polu tym występują opory ruchu. Wiemy, że w w/w polach naładowane cząstki poruszają z różnymi przyspieszeniami zależnymi od ich masy. Stąd wniosek, że poruszające się w tych polach naładowane cząstki doznają oporów ruchu. Skąd się one biorą? Wyjaśnia to Model 31.
Dla atomów przestrzeń wokół nich nie jest próżnią. Poruszają się one we wszechobecnym gazie kwantowym. Atomy są tak małe, że gaz kwantowy stanowi opór dla ich ruchu, tak jak powietrze stanowi opór dla ruchu dużych ciał.
Jeżeli poruszające się atomy doznają oporów ruchu, to w rozważaniach o nich trzeba uwzględniać siłę oporu:

D – wektor siły oporu skierowany przeciwnie do wektora prędkości atomu;
CD – współczynnik siły oporu („współczynnik kształtu”) zależny między innymi od kształtu atomu;
SD– powierzchnia rzutu atomu na płaszczyznę prostopadłą do wektora prędkości atomu, upraszczając jest „powierzchnia oporu”;
v – wektor prędkości atomu;
p – „gęstość” gazu kwantowego zależna od temperatury (im wyższa temperatura tym większa gęstość)
Jak z powyższego widać siła oporu jest proporcjonalna do kwadratu prędkości poruszającego się atomu D~v2
Np. w akceleratorze dwukrotne zwiększenie prędkości atomu (jonu) skutkuje czterokrotnym zwiększeniem oporów ruchu. Dlatego rozpędzanie cząstek do coraz większych prędkości wymaga dostarczania nieproporcjonalnie większych porcji energii i w pewnym momencie rozpędzenie cząstki powyżej określonej prędkości staje się niemożliwe. Jest to zjawisko powszechnie znane w fizyce klasycznej i w życiu codziennym. Na tym zjawisku opiera się np. działanie spadochronu.

Ponieważ fizycy uważają, że przyspieszane atomy poruszają się bez oporów ruchu muszą w jakiś inny sposób wyjaśnić w/w wyniki. Obecnie obowiązuje koncepcja, że ze wzrostem prędkości rośnie w jakiś sposób masa atomu. Hendrik Antoon Lorentz stworzył specjalną konstrukcję matematyczną zwaną czynnikiem Lorentza.

który umożliwił obliczenie tego nowego bytu nazwanego masą relatywistyczną


Porównajmy teraz powyższe wykresy.

Jak widać są one praktycznie identyczne. Pierwszy z nich wywiedziony został bezpośrednio z fizyki klasycznej. Drugi mógł
powstać dopiero po arbitralnym wprowadzeniu do fizyki granicy c (nieprzekraczalności prędkości światła).
Umożliwiło to wymyślenie czynnika Lorentza i dopiero ta kombinacja skutkowała wprowadzeniem do fizyki nowego,
kontrowersyjnego bytu, tzw. masy relatywistycznej mr . Granica c i masa mr zostały one wprowadzone do fizyki ad hoc,
tylko w celu wyjaśnienia zjawiska, którego fizycy nie mogli wyjaśnić bezpośrednio.
Ze wzoru na siłę oporu D widać, że jest ona proporcjonalna do SD powierzchni rzutu atomu na płaszczyznę prostopadłą do kierunku ruchu („powierzchni oporu”), oraz do CD współczynnika siły oporu („współczynnika kształtu”).
D~SDCD
Ponieważ Model 31 pokazuje jaki kształt posiadają proton, neutron i zbudowane z nich jądra atomowe nie od rzeczy będzie rozważyć jak te kształty wpływają na wielkość siły oporu.
Weźmy pod uwagę jądro deuteru. Składa się ono z protonu i neutronu i wg Modelu 31 ma kształt dwóch połączonych walców.

Jądro te w spektrometrze Bainbridge,a zakreśli półokrąg o określonym promieniu, który po przeliczeniach daje masę 3,3434*10-27 kg.
Weźmy teraz pod uwagę jądro helu. Składa się ono z 2 jąder deuteru i wg Modelu 31 ma kształt czterech połączonych walców.

Jądro helu powinno posiadać masę dokładnie dwa razy większą od jądra deuteru, czyli 6,6868*10-27 kg. W spektrometrze powinno zakreślić półokrąg dokładnie dwa razy większy niż jądro deuteru. Jednak półokrąg ten jest mniejszy niż przewidywany i po przeliczeniach daje masę 6,6444*10-27 kg. Oznacza to „deficyt masy” jądra w ilości 0,0424*10-27 kg. Co się z nią stało? Wg fizyków uległa ona zamianie na energię wiązania poszczególnych nukleonów w jądrze. W jaki sposób? Nie wiadomo. Trzeba tu dodać, że ten „ deficyt masy” stwierdza się przy wyznaczaniu mas wszystkich jąder atomowych.
Model 31 powyższy wynik tłumaczy tak. W spektrometrze jądra atomowe doznają oporów ruchu. Jądro helu posiada większą „powierzchnię oporu” SD i większy „współczynnik kształtu” CD niż jądro deuteru. Powoduje to, że siła oporu ruchu jądra helu w spektrometrze będzie większa niż siła oporu ruchu jądra deuteru. Jeżeli siła oporu jest większa, to jądro zatoczy półokrąg mniejszy niż spodziewany. Masa składników jądra (protonów i neutronów) nie zmieniła się, zmieniły się tylko (wzrosły) opory ruchu, wynikające ze wzrostu „powierzchni oporu” jądra i jego „współczynnika kształtu”. Powyższe rozważania ilustruje poniższy rysunek.

Z wzoru na siłę oporu widać, że jest ona proporcjonalna gęstości gazu kwantowego
D~p
Gaz kwantowy to ciepło. Koncentracja, „gęstość” gazu kwantowego to temperatura. Niższa temperatura oznacza mniejszą koncentrację kwantów czyli mniejsze opory ruchu dla poruszających się atomów, wyższa temperatura oznacza większą koncentrację kwantów, czyli większe opory ruchu dla poruszających się atomów. Z tego wynika, że dla atomów opory ruchu zależą od temperatury. Jak sprawdzić słuszność tego rozumowania? Weźmy pod uwagę spektrometr Bainbridge'a.

W spektrometrze tym masa jonu (m1) wyznaczana jest w temperaturze około 293 K (20o C). Jest ona wyznaczana drogą pośrednią przez pomiar promienia półokręgu r jaki zatoczył jon w obszarze pola magnetycznego, przy czym wyliczona masa jest proporcjonalna do zmierzonego promienia.

m – masa jonu,
q – ładunek jonu,
B – indukcja magnetyczna,
r – promień półokręgu jaki zatoczył jon w obszarze pola magnetycznego,
V – prędkość jonu.
Jeżeli masę tego samego jonu wyznaczymy w temperaturze skroplonego azotu (77 K), to wpadnie on z tą samą co
poprzednio prędkością, w obszar pola magnetycznego o mniejszej gęstości gazu kwantowego, czyli dozna mniejszych
oporów ruchu, czyli zatoczy większy półokrąg w polu magnetycznym, czyli wyliczona zostanie WIĘKSZA jego masa (m2).
W świetle powyższego będziemy musieli przyjąć do wiadomości, że masa atomów zależy od temperatury jej wyznaczania (patrz poniższy rysunek).

Potwierdzenie wyników przedstawionego powyżej eksperymentu będzie experimentum crucis, czyli niepodważalnym dowodem słuszności dla przedstawionych powyżej założeń, że:
- atomy poruszają się w gazie kwantowym,
- gaz kwantowy wytwarza opory ruchu dla poruszających się w nim atomów,
- opory ruchu dla poruszających się w gazie kwantowym atomów zależą proporcjonalnie od koncentracji, gęstości tego gazu, czyli od jego temperatury.
Podsumowaniem całości powyższego rozumowania jest stwierdzenie że, istniejące w przyrodzie pola (grawitacyjne, elektryczne, magnetyczne) nie mogą być wykorzystywane do dynamicznego wyznaczania masy atomów, cząsteczek lub cząstek elementarnych. Inaczej mówiąc nie mamy pojęcia jakie rzeczywiste masy posiadają atomy, cząsteczki, cząstki elementarne.
Teraz widać już wyraźnie na czym polega błąd popełniany przez fizyków przy pomiarze mas atomów. Ponieważ nie mogą wyznaczyć tych mas bezpośrednio w sposób statyczny (nie można zważyć atomów bo są one w wiecznym ruchu), wyznaczają te masy w sposób pośredni , dynamiczny.
Mierzy się zasięg lotu atomu (jonu) wstrzelonego w pole magnetyczne z określoną prędkością i na tej podstawie wylicza się jego masę. Jest to to samo co wyliczanie w polu grawitacyjnym masy kuli armatniej na podstawie zasięgu jej lotu po wystrzale z armaty. Doświadczenie pokazuje, że takie wyniki są niewiarygodne, bowiem zasięg kuli zależy od oporów ruchu (oporów powietrza). Pozorna skuteczność tej metody (powtarzalność otrzymywanych mas atomowych) polega na tym, że dokonując ich zawsze w tej samej temperaturze zachowuje się stałość oporów ruchu. Jednak gdy zmienimy temperatury pomiaru, zmienią się opory ruchu i cała ta misterna metoda pomiaru masy zawali się.
Fizycy, żeby chociaż częściowo uratować tą „masę padłą”, przy obliczonych masach atomów, cząsteczek i cząstek elementarnych będą musieli dodawać, że jest to masa wyznaczona dla określonej temperatury (20o C). Obecnie już tak czynią dla wielu innych wielkości fizycznych, np. dla ciepła właściwego ciał. Tylko jak wtedy masy protonu lub elektronu zaliczyć do uniwersalnych stałych fizycznych?
|
| |